English name:tert-Butyl 3-oxoazetidine-1-carboxylate
Chinese name:1-Boc-3-氮杂环丁酮
CAS NO.:398489-26-4
Molecular Structure:

English name:N-Boc,N-methylaminoacetone
Chinese name:N-boc-甲氨基丙酮
CAS NO.:532410-39-2
Molecular Structure:

English name:1-Bromo-4-iodobenzene
Chinese name:对溴碘苯
CAS NO.:589-87-7
Molecular Structure:

English name:Ethyl 3-oxocyclobutanecarboxylate
Chinese name:3-氧代环丁基羧酸乙酯
CAS NO.:87121-89-9
Molecular Structure:

English name:6-methoxy-1-tetralone
Chinese name:6-甲氧基-1-萘满酮
CAS NO.:1078-19-9
Molecular Structure:

English name:M-cresol
Chinese name:精制间甲酚,间甲酚
CAS NO.:108-39-4
Molecular Structure:

English name:(3R,4S,5R,6R)-3,4,5-tris(triMethylsilyloxy)-6-((triMethylsilyloxy)Methyl)tetrahydro-2H-pyran-2-one
Chinese name:3,4,5-三-三甲硅氧基-6-三甲基硅氧基甲基-四氢-2H-吡喃-2-酮
CAS NO.:32469-28-6
Molecular Structure:

English name:S-3-hydroxytetrahydrofuran
Chinese name:(S)-3-羟基四氢呋喃
CAS NO.:86087-23-2
Molecular Structure:

English name:(3S)-3-[4-[(2-Chloro-5-iodophenyl)methyl]phenoxy]tetrahydro-furan
Chinese name:(3S)-3-[4-[(5-碘-2-氯苯基)甲基]苯氧基]四氢呋喃
CAS NO.:915095-94-2
Molecular Structure:

English name:(3S)-3-[4-[(5-Bromo-2-chlorophenyl)methyl]phenoxy]tetrahydro-furan
Chinese name:(3S)-3-[4-[(5-溴-2-氯苯基)甲基]苯氧基]四氢呋喃
CAS NO.:915095-89-5
Molecular Structure:

English name:8-Bromo-3-methyl-xanthine
Chinese name:8-溴-3-甲基-3,7-二氢-嘌呤-2,6-二酮
CAS NO.:93703-24-3
Molecular Structure:

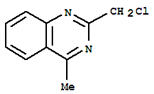
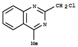
English name:2-(chloromethyl)-4-methylquinazoline
Chinese name:2-氯甲基-4-甲基喹唑啉
CAS NO.:109113-72-6
Molecular Structure:
