English name:2,2,2-Trifluoroacetamide
Chinese name:三氟乙酰胺
CAS NO.:354-38-1
Molecular Structure:

English name:Potassium trifluoroacetate
Chinese name:三氟乙酸钾
CAS NO.:2923-16-2
Molecular Structure:

English name:Ethyl 4,4,4-trifluoroacetoacetate
Chinese name:三氟乙酰乙酸乙酯
CAS NO.:372-31-6
Molecular Structure:

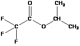
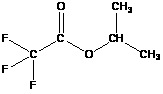
English name:Isopropyl trifluoroacetate
Chinese name:三氟乙酸异丙酯
CAS NO.:400-38-4
Molecular Structure:

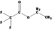
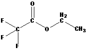
English name:Ethyl trifluoroacetate
Chinese name:三氟乙酸乙酯
CAS NO.:383-63-1
Molecular Structure:

English name:Sodium trifluoroacetate
Chinese name:三氟乙酸钠
CAS NO.:2923-18-4
Molecular Structure:

English name:Ethyl 4,4-difluoro-3-oxobutanoate
Chinese name:二氟乙酰乙酸乙酯
CAS NO.:352-24-9
Molecular Structure:

English name:Trifluoroacetic acid
Chinese name:三氟乙酸
CAS NO.:76-05-1
Molecular Structure:

English name:Trifluoroacetic anhydride
Chinese name:三氟乙酸酐
CAS NO.:407-25-0
Molecular Structure:

English name:Trifluoroacetylacetone
Chinese name:三氟乙酰丙酮
CAS NO.:367-57-7
Molecular Structure:

English name:ethylchlorodifluoroacetate
Chinese name:二氟氯乙酸乙酯
CAS NO.:383-62-0
Molecular Structure:

English name:2,2,2-Trifluoroethyl trifluoroacetate
Chinese name:三氟乙酸2,2,2-三氟乙酯
CAS NO.:407-38-5
Molecular Structure:
