English name:1,2,6,7-Tetrahydro-8H-indeno[5,4-b]furan-8-one
Chinese name:1,2,6,7-四氢-8H-茚并[5,4-b]呋喃-8-酮
CAS NO.:196597-78-1
Molecular Structure:

English name:2,3-Dihydrobenzofuran
Chinese name:2,3-二氢苯并呋喃
CAS NO.:496-16-2
Molecular Structure:

English name:6,6-DiMethyl-3-azabicyclo[3.1.0]hexane
Chinese name:6,6-二甲基-3-氮杂双环[3.1.0]己烷
CAS NO.:943516-54-9
Molecular Structure:

English name:cis-3,3-dimethylcyclopropane-1,2-dicarboxylic acid
Chinese name:卡龙酸
CAS NO.:936-87-8
Molecular Structure:

English name:Posaconazole
Chinese name:泊沙康唑
CAS NO.:171228-49-2
Molecular Structure:

English name:Phenyl {4-[4-(4-Hydroxyphenyl)Piperazin-1-Yl]Phenyl}Carbamate
Chinese name:[4-[4-(4-羟基苯基)-1-哌嗪基]苯基]氨基甲酸苯酯
CAS NO.:184177-81-9
Molecular Structure:

English name:1-(4-Aminophenyl)-4-(4-hydroxyphenyl)piperazine
Chinese name:1-(4-氨基苯基)-4-(4-羟基苯基)哌嗪
CAS NO.:74853-08-0
Molecular Structure:

English name:N'-((2S,3S)-2-(benzyloxy)pentan-3-yl)formohydrazide oxalate
Chinese name:N'-((2S,3S)-2-(苄氧基)戊-3-基)甲酰肼草酸盐
CAS NO.:1887197-42-3
Molecular Structure:

English name:(S)-[2-(Benzyloxy) propylidene]
Chinese name:2-[(2S)-2-(苄氧基)亚丙基]肼甲醛
CAS NO.:170985-84-9
Molecular Structure:

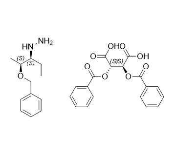
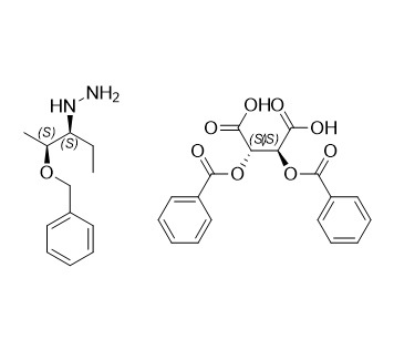
English name:1-((2S,3S)-2-(benzyloxy)pentan-3-yl)hydrazine (2S,3S)-2,3-bis(benzoyloxy)succinic acid salt
Chinese name:[(2S,3S)-2-(苄氧基)-3-戊基]肼-(2S,3S)-2,3-二(苯酰氧基)丁二酸
CAS NO.:183871-36-5
Molecular Structure:

English name:2-[(1S,2S)-1-Ethyl-2-bezyloxypropyl]-2,4-dihydro-4-[4-[4-(4-hydroxyphenyl)-1-piperazinyl]phenyl]-3H-1,2,4-triazol-3-one
Chinese name:2-((1S,2S)-1-乙基-2-苄氧基丙基)-2,4-二氢-4-(4-(4-(4-羟基苯基)-1-哌嗪基)苯基)-3H-1,2,4-三氮唑-3-酮
CAS NO.:184177-83-1
Molecular Structure:

English name:2-[2-(2,4-difluorophenyl)prop-2-enyl]propane-1,3-diol
Chinese name:2-[2-(2,4-二氟苯基)-2-丙烯-1-基]-1,3-丙二醇
CAS NO.:165115-73-1
Molecular Structure:
